轴压比超限的柱抗震加固方法(原理篇)
6 7th, 2024
摘 要:
由于施工原因,造成框架柱混凝土强度达不到设计要求,此时,核算原结构承载力及变形虽然均能满足要求,但底层柱的轴压比往往不满足有关规范要求。本文作者根据柱轴压比的主要影响因素,提出柱轴压比超 限时的抗震加固方法
关键词:
钢筋混凝上柱;轴压比;延性;抗震性能
1.前言
在钢筋混凝土框架结构或框架剪力墙结构设计中,根据 《建筑抗震设计规范》(GBJ11-89),框架柱的轴压比是由柱组合的轴压力、全截面面积和混凝土抗压强度控制,即n=N/ fc.As。只要正常设计和施工,框架柱的轴压比能够满足要求。但在实际施工过程中,混凝土质量出现问题在所难免, 有时,混凝土的实际强度比混凝土设计强度略低或低于一个等级。虽然混凝土强度对柱的正截面承载力影响不大,柱端箍筋加密区,其斜截面强度也能满足要求,但混凝土强度的降低,往往造成柱的轴压比不满足规范要求。在现行规范 中,柱轴压比限值没有考虑柱周围纵向钢筋和锚筋的影响。本文作者根据以往对柱轴压比的研究结果,分析了影响柱轴压比的各种因素,提出了轴压比超限时柱的抗震加固方法。
2.轴压比限值
钢筋混凝土偏心受压柱的正截面破坏形态分为大偏心受压破坏和小偏心受压破坏,大偏心受压破坏属于延性破坏,小偏心破坏属于脆性破坏。在抗震设计中,把柱子设计为大偏心受压破坏状态,就是使钢筋混凝土偏心受压柱能有较好的抗震性能。在现行的混凝土结构设计规范中,轴压比的限值是指柱大小偏心界限破坏时的轴压比。限制柱的轴压比,就是避免地震时柱子发生脆性破坏。
3.影响轴压比限值的因素
影响轴压比限值的因素较多,其中主要有箍敢、纵筋和混凝土强度。
3.1箍筋的影响
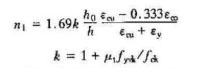
箍筋对混凝土柱的横向约束不仅可以提高混凝土的抗压强度,而且可以提高混凝土的极限压应变。所以,提高配箍筋率,可以增加钢筋混凝土的延性。研究结果表明,箍筋直径越粗、间距越小、强度越高、对混凝土的力学性能的改善也越显著,混凝土强度越低,效果越好。箍筋的形式主要有普通钢箍、螺旋钢箍和复合式钢箍。从受力效果看,复合封闭式箍筋校好。考虑箍筋约束作用时,柱轴压比限值的计算公式为:
式中k——箍筋约束对混凝土峰值应力和峰值应变的提高系数;
u——箍筋体积配筋率;
ho—柱截面有效高度;
h——柱截面高度;
Ecu--混凝土极限压应变;
E∞-应力峰值应变;
Ey—纵向钢筋屈服应变;
fyvk-箍筋抗拉强度标准值;
fck--混凝土抗压强度标准值。
3.2纵向钢筋的影响
考虑周边纵筋作用时,柱轴压比的限值随纵筋配筋率的增大而提高,计算公式为:
3.3混凝土强度等级的影响
提自混凝上强度等级,可以减小柱的轴压比,但柱的延性会降低,容易发生脆性破坏。
根据上述分析,当框架柱轴压比不满足规范要求时,应根据箍筋和纵筋配置情况,确定是否需要抗震加固。

